
ظرفیت فن کویل به توانایی این دستگاه در تنظیم دمای محیط از طریق تامین سرمایش یا گرمایش اشاره دارد. این ظرفیت معمولاً بر اساس بار حرارتی و بار برودتی ساختمان تعیین میشود و به دو عامل اصلی بستگی دارد:
فن کویلها در ظرفیتهای مختلف طراحی میشوند تا متناسب با متراژ و نوع فضای مورد استفاده باشند؛ از واحدهای کوچک برای اتاقهای مسکونی گرفته تا مدلهای بزرگتر برای فضاهای تجاری و صنعتی. فن کویلها معمولاً در سیستمهای تهویه مطبوع به همراه تجهیزات دیگری مانند چیلرها، هواسازها و پمپها کار میکنند. این هماهنگی به نحوی است که هر بخش وظیفهای خاص را بر عهده دارد. درک مفهوم ظرفیت فن کویل و چگونگی محاسبه آن، برای بهینهسازی عملکرد کل سیستم و هماهنگی میان تجهیزات مختلف، اهمیت ویژهای دارد. این پارامتر تعیینکننده توانایی فن کویل در تأمین سرمایش یا گرمایش مورد نیاز فضا است. انتخاب ظرفیت مناسب، برای جلوگیری از مشکلاتی مانند ناکارآمدی سیستم یا هدررفت انرژی ضروری است.
CFM (Cubic Feet per Minute) به معنای فوت مکعب در دقیقه، واحدی است که سرعت جریان هوا را اندازهگیری میکند. این مقدار نشان میدهد که یک فن کویل چه حجمی از هوا را در یک دقیقه از میان کویلها عبور میدهد.
CFM ارتباط مستقیمی با ظرفیت حرارتی و برودتی فن کویل دارد، چرا که:
محاسبه دقیق CFM برای طراحی و انتخاب فن کویل حیاتی است، زیرا:
CFM تنها یکی از عوامل تعیین ظرفیت فن کویل است، اما به شدت به متغیرهای دیگر وابسته است:
CFM مناسب به عوامل زیر بستگی دارد:
یک فن کویل با CFM مناسب:
محاسبه CFM (حجم هوای جابجاشده بر حسب فوت مکعب در دقیقه) یکی از مهمترین مراحل در طراحی و انتخاب فن کویل است. این محاسبه به شما کمک میکند تا دستگاهی را انتخاب کنید که متناسب با نیازهای سرمایشی و گرمایشی فضای موردنظر باشد. در این بخش به معرفی فرمولهای استاندارد و نحوه استفاده از آنها میپردازیم.
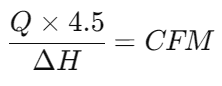
فرمول عمومی برای محاسبه CFM بر اساس بار سرمایشی یا گرمایشی محیط به صورت زیر است:

فرض کنید بار سرمایشی یک فضا برابر با 12,000 BTU/hr (یک تن تبرید) و اختلاف دمای هوای ورودی و خروجی 20°F باشد.
با جایگذاری در فرمول:

بنابراین، برای این فضا به فن کویلی با CFM حدود ۵۵۶ فوت مکعب در دقیقه نیاز است.
برای محاسبه CFM در حالت بار سرمایشی کل، میتوان از این فرمول استفاده کرد:

این فرمول بیشتر در شرایطی که محاسبه بر اساس آنتالپی صورت میگیرد (مانند سیستمهای با رطوبت بالا) استفاده میشود.
فرمول محاسبه CFM در حالت گرمایشی مشابه فرمول سرمایشی است، اما به جای بار سرمایشی از بار گرمایشی استفاده میشود. بار گرمایشی معمولاً در مناطقی که به گرمایش بیشتری نیاز است، محاسبه میشود:

برای اطمینان از صحت محاسبات، باید عوامل زیر را نیز در نظر بگیرید:
برای تسهیل محاسبات، میتوان از نرمافزارهای تخصصی مانند Carrier HAP، Elite CHVAC یا نرمافزارهای مشابه استفاده کرد. این نرمافزارها به صورت خودکار بارهای سرمایشی و گرمایشی را محاسبه کرده و مقدار CFM مورد نیاز را ارائه میدهند.
انتخاب ظرفیت مناسب فن کویل (CFM) برای هر فضا نیازمند بررسی دقیق چندین عامل کلیدی است. این عوامل تعیین میکنند که فن کویل بتواند نیازهای سرمایشی و گرمایشی محیط را برآورده کند، انرژی بهینه مصرف شود و راحتی حرارتی به حداکثر برسد. در این بخش، مهمترین عوامل موثر بر این تصمیمگیری را بررسی میکنیم.
۱. متراژ و حجم فضا
یکی از مهمترین عوامل تعیینکننده ظرفیت فن کویل، ابعاد فضا است.
مثال:
۲. نوع و کاربری فضا
کاربری فضا تعیین میکند که چه میزان تبادل حرارتی در آن صورت میگیرد:
۳. شرایط اقلیمی و آب و هوایی
موقعیت جغرافیایی و شرایط آب و هوایی منطقه تأثیر زیادی بر نیاز سرمایشی و گرمایشی دارد:
۴. بارهای سرمایشی و گرمایشی فضا
بار حرارتی یا برودتی (Heat Load) محیط یکی از عوامل کلیدی در تعیین ظرفیت فن کویل است. این بار تحت تأثیر عوامل زیر است:
۵. افت فشار در کانالها و مسیر جریان هوا
اگر فن کویل به کانال متصل باشد، افت فشار در کانالها میتواند بر عملکرد آن تأثیر بگذارد. عواملی که میتوانند باعث افت فشار شوند عبارتند از:
برای جبران افت فشار، ممکن است به فن کویلی با ظرفیت بالاتر نیاز داشته باشید.
6. کیفیت هوای داخلی (IAQ)
در فضاهایی که کیفیت هوای داخلی اهمیت زیادی دارد (مانند بیمارستانها یا ساختمانهای سبز)، ممکن است به فن کویلهایی با ظرفیت CFM بالاتر برای تأمین هوای تازه نیاز باشد. علاوه بر این، وجود فیلترهای با کارایی بالا (HEPA) ممکن است جریان هوا را کاهش داده و نیاز به ظرفیت بیشتری ایجاد کند.
۷. سطح صدای دستگاه
در مکانهایی که آرامش صوتی اهمیت دارد (مانند هتلها یا منازل مسکونی)، سطح صدای فن کویل باید در نظر گرفته شود. فن کویلهایی با ظرفیت بالاتر معمولاً صدای بیشتری تولید میکنند، بنابراین باید تعادل بین ظرفیت و سطح صدا برقرار شود.
۸. نوع فن کویل و طراحی آن
فن کویلها در انواع مختلفی موجود هستند که هر کدام برای کاربردهای خاصی طراحی شدهاند:
نوع فن کویل انتخابی باید با نیازهای ظرفیت و شرایط نصب هماهنگ باشد.
۹. تطبیق با سیستمهای دیگر
فن کویلها بخشی از یک سیستم جامع تهویه مطبوع هستند. هنگام انتخاب ظرفیت، باید به تطبیق آن با اجزای دیگر سیستم (مانند چیلر یا بویلر) توجه کنید. اگر فن کویل با توان واقعی چیلر یا بویلر سازگار نباشد، عملکرد کل سیستم مختل میشود.
استفاده از نرمافزارهای مهندسی در محاسبه و انتخاب ظرفیت مناسب فن کویل (CFM) یکی از راهکارهای حرفهای و کارآمد در صنعت تهویه مطبوع است. این نرمافزارها به متخصصان کمک میکنند تا با سرعت و دقت بیشتری طراحی سیستمهای تهویه را انجام دهند و از خطاهای محاسباتی جلوگیری کنند. در این بخش، به نقش و اهمیت این ابزارها و نحوه استفاده از آنها میپردازیم.
محاسبه دستی ظرفیت فن کویل، بهخصوص در پروژههای بزرگ یا پیچیده، میتواند زمانبر و همراه با احتمال خطا باشد. نرمافزارهای مهندسی مزایای زیر را ارائه میدهند:
برای استفاده از نرمافزارهای مهندسی، باید اطلاعات زیر را بهصورت دقیق وارد کنید:
پس از وارد کردن این اطلاعات، نرمافزار ظرفیت مناسب فن کویل را محاسبه کرده و مدلهایی را که با نیازهای پروژه همخوانی دارند پیشنهاد میکند.
هنگام انتخاب یک نرمافزار مهندسی، به موارد زیر توجه کنید:
محاسبه ظرفیت مناسب فن کویل (CFM) فرآیندی حساس و چندوجهی است که دقت بالایی را میطلبد. در این مسیر، چالشها و اشتباهات مختلفی ممکن است رخ دهد که میتوانند بر عملکرد سیستم و بازدهی آن تأثیر منفی بگذارند. در ادامه به بررسی رایجترین چالشها و اشتباهات و راهکارهای پیشگیری از آنها میپردازیم.
۱. عدم توجه به بار واقعی حرارتی و برودتی
یکی از رایجترین اشتباهات، برآورد اشتباه بارهای سرمایشی و گرمایشی فضا است. اگر این محاسبات کمتر یا بیشتر از حد واقعی باشد، ممکن است موارد زیر رخ دهد:
۲. نادیده گرفتن شرایط اقلیمی
شرایط آب و هوایی منطقه نقش بسیار مهمی در تعیین ظرفیت فن کویل دارد. عدم توجه به این موضوع میتواند به انتخاب سیستمی نامناسب منجر شود.
راهکار: همواره از دادههای اقلیمی دقیق منطقه (مانند دما و رطوبت) در محاسبات استفاده کنید.
۳. عدم در نظر گرفتن افت فشار در سیستم
در فضاهایی که از کانالکشی برای توزیع هوا استفاده میشود، افت فشار در مسیر جریان هوا میتواند بر عملکرد فن کویل تأثیر بگذارد. بسیاری از افراد این عامل را نادیده میگیرند و سیستم مناسبی انتخاب نمیکنند.
راهکار: محاسبه دقیق افت فشار با در نظر گرفتن طول کانالها، تعداد اتصالات و زانوییها، و نوع مواد کانال.
۴. استفاده از ضرایب ایمنی بیش از حد
هرچند استفاده از ضرایب ایمنی در محاسبات ضروری است، اما در نظر گرفتن ضرایب غیرمنطقی میتواند منجر به انتخاب سیستمی بسیار بزرگتر از نیاز واقعی شود.
راهکار: تعیین ضرایب ایمنی بر اساس استانداردهای صنعتی و اجتناب از برآوردهای بیش از حد.
۵. نادیده گرفتن تأثیر عایقبندی ساختمان
عایقبندی حرارتی و کیفیت ساخت تأثیر زیادی بر میزان بار حرارتی و برودتی دارند. عدم توجه به این موضوع میتواند به انتخاب فن کویل اشتباه منجر شود.
راهکار: بررسی دقیق عایقبندی دیوارها، سقف، و پنجرهها و لحاظ کردن آنها در محاسبات.
۶. انتخاب اشتباه نوع فن کویل
نوع فن کویل (دیواری، زمینی، کانالی، یا سقفی) باید متناسب با کاربری فضا انتخاب شود. عدم توجه به این موضوع ممکن است به مشکلاتی مانند توزیع نامناسب هوا یا اشغال فضای نامناسب منجر شود.
راهکار: با توجه به ابعاد و کاربری فضا، نوع فن کویل مناسب را انتخاب کنید.
۷. نادیده گرفتن نیازهای خاص فضا
در برخی فضاها، نیازهای خاصی مانند کاهش رطوبت یا تأمین هوای تازه باید در نظر گرفته شود. نادیده گرفتن این موارد ممکن است عملکرد کلی سیستم را مختل کند.
راهکار: بررسی نیازهای خاص هر پروژه و اطمینان از قابلیت فن کویل در تأمین این نیازها.
۸. عدم استفاده از نرمافزارهای محاسباتی
اعتماد بیش از حد به محاسبات دستی، بهویژه در پروژههای پیچیده، میتواند منجر به خطاهای جدی شود.
راهکار: استفاده از نرمافزارهای معتبر مهندسی مانند Carrier HAP یا Elite CHVAC برای محاسبات دقیق.
۹. توجه نکردن به سطح صدای دستگاه
در فضاهایی مانند هتلها یا دفاتر، صدای تولیدی فن کویل میتواند تأثیر منفی بر راحتی افراد بگذارد. انتخاب سیستمی که سطح صدای آن بیش از حد باشد، یک اشتباه رایج است.
راهکار: انتخاب فن کویلی با سطح صدای مناسب با توجه به کاربری فضا.
۱۰. عدم هماهنگی با سایر اجزای سیستم تهویه
فن کویلها بخشی از یک سیستم جامع هستند. عدم توجه به هماهنگی با چیلر، بویلر یا سیستمهای کنترل مرکزی میتواند منجر به عملکرد ضعیف یا ناسازگاری در سیستم شود.
راهکار: اطمینان از هماهنگی ظرفیت فن کویل با توان و مشخصات سایر تجهیزات.
بهینهسازی مصرف انرژی در سیستمهای تهویه مطبوع، از جمله فن کویلها، علاوه بر کاهش هزینههای انرژی، تأثیر بسزایی در حفظ محیط زیست دارد. انتخاب صحیح ظرفیت و استفاده بهینه از فن کویلها میتواند عملکرد سیستم را بهبود بخشیده و مصرف انرژی را به حداقل برساند. در ادامه به مهمترین نکات برای بهینهسازی مصرف انرژی در فن کویلها میپردازیم.
۱. انتخاب ظرفیت بهینه
یکی از مهمترین عوامل در کاهش مصرف انرژی، انتخاب ظرفیت مناسب فن کویل است. اگر ظرفیت دستگاه بیش از نیاز باشد، انرژی به هدر میرود و اگر کمتر از نیاز باشد، سیستم باید بهطور مداوم کار کند که مصرف انرژی را افزایش میدهد.
راهکار: محاسبات دقیق بار سرمایشی و گرمایشی انجام دهید و از ظرفیتهای واقعی استفاده کنید.
۲. استفاده از فنهای کممصرف
نوع فن استفادهشده در فن کویل تأثیر مستقیم بر مصرف انرژی دارد. فنهای با راندمان بالا یا فنهای EC (Electronic Commutated) مصرف انرژی کمتری دارند و عملکرد بهتری ارائه میدهند.
راهکار: هنگام خرید فن کویل، دستگاههایی با فنهای کممصرف را انتخاب کنید.
۳. کنترل دور فن
فن کویلهایی که قابلیت کنترل دور فن دارند، امکان تنظیم جریان هوا بر اساس نیاز واقعی فضا را فراهم میکنند. این ویژگی نهتنها راحتی بیشتری ایجاد میکند بلکه به کاهش مصرف انرژی نیز کمک میکند.
راهکار: از فن کویلهایی با قابلیت کنترل دور استفاده کنید و تنظیمات را بر اساس نیاز تغییر دهید.
۴. بهینهسازی عایقبندی ساختمان
عایقبندی مناسب دیوارها، سقف، و پنجرهها میتواند بار حرارتی ساختمان را کاهش داده و در نتیجه ظرفیت مورد نیاز فن کویل و میزان مصرف انرژی را بهینه کند.
راهکار: پیش از نصب سیستم، بهینهسازی عایقبندی ساختمان را بررسی و اجرا کنید.
۵. تنظیمات دمایی بهینه
تنظیمات دمایی فن کویل نقش مهمی در میزان مصرف انرژی دارد. تنظیم دمای بیش از حد سرد در تابستان یا بیش از حد گرم در زمستان میتواند مصرف انرژی را بهطور قابل توجهی افزایش دهد.
راهکار: دما را در محدودهای بهینه تنظیم کنید (مانند ۲۴-۲۶ درجه سانتیگراد برای سرمایش).
۶. استفاده از ترموستاتهای هوشمند
ترموستاتهای هوشمند امکان کنترل دقیقتر دما و برنامهریزی زمانبندی برای عملکرد فن کویل را فراهم میکنند. این ابزارها میتوانند با خاموش کردن دستگاه در ساعات غیرضروری، مصرف انرژی را کاهش دهند.
راهکار: از ترموستاتهای قابل برنامهریزی یا هوشمند برای کنترل عملکرد فن کویل استفاده کنید.
۷. نگهداری و سرویس منظم
سرویس و نگهداری دورهای فن کویلها، شامل تمیز کردن فیلترها و کویلها، تأثیر قابل توجهی در کاهش مصرف انرژی دارد. فیلترهای کثیف و کویلهای آلوده میتوانند باعث کاهش جریان هوا و افزایش فشار کاری دستگاه شوند.
راهکار: برنامه سرویس دورهای را بهصورت منظم انجام دهید و از عملکرد بهینه سیستم اطمینان حاصل کنید.
۸. استفاده از منابع انرژی تجدیدپذیر
اگر امکان دارد، از سیستمهایی که انرژی مورد نیاز آنها از منابع تجدیدپذیر مانند پنلهای خورشیدی تأمین میشود، استفاده کنید. این کار میتواند هزینههای انرژی را بهطور چشمگیری کاهش دهد.
راهکار: پروژههای تهویه مطبوع را با استفاده از انرژیهای تجدیدپذیر طراحی کنید.
۹. انتخاب سیستمهای سازگار با محیط زیست
برخی از فن کویلها با طراحیهای پیشرفته و استفاده از مبردهای دوستدار محیط زیست، مصرف انرژی کمتری دارند و تأثیرات زیستمحیطی کمتری ایجاد میکنند.
راهکار: هنگام خرید فن کویل، دستگاههایی با گواهینامههای انرژی سبز یا استانداردهای محیط زیستی را انتخاب کنید.
۱۰. استفاده از سیستمهای کنترل مرکزی
در پروژههای بزرگ، استفاده از سیستمهای مدیریت انرژی و کنترل مرکزی میتواند مصرف انرژی را بهینه کند. این سیستمها امکان کنترل همزمان چندین فن کویل و تطبیق عملکرد آنها با شرایط محیطی را فراهم میکنند.
راهکار: در ساختمانهای بزرگ، از سیستمهای کنترل مرکزی برای مدیریت عملکرد فن کویلها استفاده کنید.
نگهداری و سرویس دورهای فن کویلها نقش حیاتی در حفظ عملکرد بهینه سیستم تهویه مطبوع دارد. عدم توجه به این موضوع میتواند باعث کاهش راندمان، افزایش مصرف انرژی، و حتی خرابیهای پرهزینه شود. در ادامه به اهمیت نگهداری و اقدامات لازم برای سرویس فن کویلها میپردازیم.
۱. افزایش عمر مفید دستگاه
فن کویلها با نگهداری منظم عمر طولانیتری خواهند داشت. قطعاتی مانند فن، کویل، و موتور اگر بهموقع سرویس شوند، کمتر دچار فرسایش میشوند.
راهکار: بازدیدهای دورهای برای بررسی سلامت قطعات و تعویض قطعات فرسوده انجام دهید.
۲. بهبود کیفیت هوای داخلی
فیلترهای کثیف و کویلهای آلوده میتوانند کیفیت هوای داخلی را کاهش داده و باعث انتشار آلایندهها و گردوغبار شوند. این مسئله میتواند به مشکلات تنفسی یا حساسیت در افراد منجر شود.
راهکار: فیلترها را بهصورت منظم تمیز یا تعویض کنید و کویلها را شستوشو دهید.
۳. کاهش مصرف انرژی
فن کویلهای کثیف یا با قطعات معیوب باید برای تأمین سرمایش یا گرمایش مطلوب، بیشتر کار کنند که این مسئله منجر به افزایش مصرف انرژی میشود.
راهکار: اطمینان حاصل کنید که کویلها، فن، و موتور دستگاه بهدرستی عمل میکنند و هیچ مانعی در مسیر جریان هوا وجود ندارد.
۴. پیشگیری از خرابیهای ناگهانی
خرابیهای ناگهانی میتواند هزینههای زیادی برای تعمیر یا تعویض قطعات ایجاد کند. با سرویس منظم، مشکلات کوچک شناسایی و قبل از تبدیل شدن به مشکلات بزرگتر برطرف میشوند.
راهکار: برنامهریزی برای بازدیدهای دورهای توسط تکنسینهای مجرب و استفاده از چکلیستهای دقیق برای بررسی وضعیت دستگاه.
۵. تضمین عملکرد بهینه در فصلهای اوج مصرف
در فصلهای تابستان و زمستان، نیاز به سرمایش و گرمایش بیشتر است. اگر فن کویل بهخوبی سرویس نشده باشد، ممکن است در این بازهها عملکرد ضعیفی داشته باشد یا حتی از کار بیفتد.
راهکار: قبل از شروع فصلهای اوج مصرف، سرویس کامل سیستم را انجام دهید.
۶. کاهش هزینههای عملیاتی
فن کویلهای تمیز و بهخوبی نگهداریشده به انرژی کمتری نیاز دارند و باعث کاهش هزینههای قبوض انرژی میشوند. همچنین هزینههای تعمیرات اضطراری نیز کاهش مییابد.
راهکار: هزینههای جزئی برای سرویس دورهای را بهعنوان سرمایهگذاری برای کاهش هزینههای بلندمدت در نظر بگیرید.
۷. رعایت استانداردهای بهداشتی و ایمنی
در فضاهایی مانند بیمارستانها، هتلها، و مراکز آموزشی، استانداردهای بهداشتی برای کیفیت هوا اهمیت زیادی دارند. نگهداری منظم فن کویلها کمک میکند این استانداردها رعایت شود.
راهکار: بهصورت دورهای وضعیت دستگاهها را بررسی کنید و از رعایت استانداردهای لازم اطمینان حاصل کنید.
اقدامات اصلی در سرویس فن کویلها
انتخاب مناسبترین مدل فن کویل برای پروژههای خاص نیازمند بررسی دقیق مشخصات فنی، نیازهای پروژه، و شرایط محیطی است. در پروژههای تهویه مطبوع، انتخاب نادرست میتواند به کاهش راندمان، افزایش هزینهها، یا عدم راحتی کاربران منجر شود. در ادامه، مراحل کلیدی برای انتخاب بهترین مدل فن کویل را بررسی میکنیم.
۱. تعیین نیازهای پروژه
پیش از انتخاب مدل، باید به نیازهای خاص پروژه توجه کرد. برخی از این نیازها عبارتند از:
۲. انتخاب نوع مناسب فن کویل
فن کویلها در انواع مختلفی مانند دیواری، سقفی، زمینی، کانالی، و کاستی تولید میشوند. انتخاب نوع مناسب باید بر اساس نیازهای پروژه و معماری فضا انجام شود:
۳. بررسی ظرفیت سرمایشی و گرمایشی
ظرفیت سرمایشی و گرمایشی فن کویل باید با بار حرارتی و برودتی فضا هماهنگ باشد. انتخاب ظرفیتی که با نیاز واقعی مطابقت نداشته باشد، منجر به کاهش راندمان یا افزایش مصرف انرژی میشود.
راهکار: محاسبات دقیق بار حرارتی و برودتی انجام دهید و دستگاهی با ظرفیت مناسب انتخاب کنید.
۴. توجه به راندمان انرژی
راندمان انرژی فن کویل تأثیر مستقیمی بر هزینههای عملیاتی دارد. مدلهایی با راندمان بالاتر ممکن است هزینه اولیه بیشتری داشته باشند اما در طول زمان صرفهجویی قابلتوجهی ایجاد میکنند.
راهکار: دستگاههایی با برچسبهای انرژی کارآمد و تکنولوژیهای پیشرفته مانند فنهای EC انتخاب کنید.
۵. بررسی سطح صدای دستگاه
سطح صدای فن کویل در فضاهایی مانند دفاتر، بیمارستانها، یا هتلها اهمیت زیادی دارد. دستگاههایی با سطح صدای کمتر معمولاً راحتی بیشتری برای کاربران فراهم میکنند.
راهکار: مدلهایی با سطح صدای پایینتر برای فضاهایی که نیاز به سکوت دارند انتخاب کنید.
۶. ارزیابی شرایط نصب و نگهداری
نصب و نگهداری آسان از جمله عواملی است که باید در انتخاب مدل فن کویل در نظر گرفته شود. دستگاههایی که به نگهداری کمتری نیاز دارند یا قطعات آنها بهراحتی قابل دسترس است، گزینههای بهتری هستند.
راهکار: مدلهایی را انتخاب کنید که دارای طراحی کاربرپسند و ساده برای نصب و سرویس باشند.
۷. بررسی هزینههای کلی
هزینههای انتخاب فن کویل فقط به قیمت خرید محدود نمیشود؛ هزینههای نصب، انرژی، و نگهداری نیز باید در نظر گرفته شوند. انتخاب مدل ارزانتر ممکن است در بلندمدت هزینه بیشتری به همراه داشته باشد.
راهکار: علاوه بر قیمت اولیه، هزینههای عملیاتی و نگهداری را نیز در تحلیل اقتصادی لحاظ کنید.
۸. انتخاب برندهای معتبر
برندهای معتبر معمولاً کیفیت ساخت بهتری دارند و خدمات پس از فروش مناسبی ارائه میدهند. انتخاب برندهای شناختهشده میتواند ریسک خرابی یا مشکلات فنی را کاهش دهد.
راهکار: از برندهایی با سابقه معتبر و پشتیبانی قوی استفاده کنید.
۹. مشورت با متخصصان
برای پروژههای بزرگ یا پیچیده، مشاوره با متخصصان تهویه مطبوع میتواند از انتخاب نادرست جلوگیری کند. متخصصان میتوانند با بررسی تمامی عوامل، بهترین گزینه را پیشنهاد دهند.
راهکار: برای پروژههای مهم از کارشناسان مجرب مشورت بگیرید.